|
|
Think of deltas as the nodes of a tree in which the root node is the original version of the file. The root node is normally named 1.1 and deltas (nodes) are named 1.2, 1.3, etc. The components of these SIDs are called release and level numbers, respectively. Thus, normal naming of new deltas proceeds by incrementing the level number. This is done automatically by SCCS whenever a delta is made.
Because the user may change the release number to indicate a major change, the release number then applies to all new deltas unless specifically changed again. Thus, the evolution of a particular file could be represented by the following figure.

Evolution of an SCCS file
This is the normal sequential development of an SCCS file, with each delta dependent on the preceding deltas. Such a structure is called the trunk of an SCCS tree.
There are situations that require branching an SCCS tree. That is, changes are planned to a given delta that will not be dependent on all previous deltas. For example, consider a program in production use at version 1.3 and for which development work on release 2 is already in progress. Release 2 may already have a delta in progress as shown in the previous figure. Assume that a production user reports a problem in version 1.3 that cannot wait to be repaired in release 2. The changes necessary to repair the trouble will be applied as a delta to version 1.3 (the version in production use). This creates a new version that will then be released to the user but will not affect the changes being applied for release 2 (that is, deltas 1.4, 2.1, 2.2, etc.). This new delta is the first node of a new branch of the tree.
Branch delta names always have four SID components: the same release number and level number as the trunk delta, plus a branch number and sequence number. The format is as follows:
release.level.branch.sequence
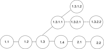
The branch number of the first delta branching off any trunk delta is always 1, and its sequence number is also 1. For example, the full SID for a delta branching off trunk delta 1.3 will be 1.3.1.1. As other deltas on that same branch are created, only the sequence number changes: 1.3.1.2, 1.3.1.3, etc. This is shown in ``Tree structure with branch deltas''.

Tree structure with branch deltas
The branch number is incremented only when a delta is created that starts a new branch off an existing branch, as shown in ``Extended branching concept''. As this secondary branch develops, the sequence numbers of its deltas are incremented (1.3.2.1, 1.3.2.2, etc.), but the secondary branch number remains the same.

Extended branching concept
The concept of branching may be extended to any delta in the tree, and the numbering of the resulting deltas proceeds as shown above. SCCS allows the generation of complex tree structures. Although this capability has been provided for certain specialized uses, the SCCS tree should be kept as simple as possible. Comprehension of its structure becomes difficult as the tree becomes complex.